Lompat ke konten Lompat ke sidebar Lompat ke footer

Contoh Soal Algoritma Numerik Matematika - Contoh Soal Dan Jawaban Deret Maclaurin - Jawaban Buku - Metode numerik secant algoritma metode secant contoh soal.

Interpolasi linier merupakan algoritma matematika yang dapat . 1.1 metode numerik fibonacci 1.2 algoritma fibonacci 1.3 contoh soal metode numerik . Algoritma prodi s1 pendidikan matematika umt april 4, 016 algoritma algoritma algoritma . Tugas metode numerik pendidikan matematika umt. Contoh penyelesaian soal dengan metode numerik roosenberg.

Untuk penerapan pemrograman komputer, penyajian algoritma. Contoh Soal Dan Penyelesaian Diagram Pohon Keputusan
Contoh Soal Dan Penyelesaian Diagram Pohon Keputusan from imgv2-1-f.scribdassets.com
Interpolasi linier merupakan algoritma matematika yang dapat . Metode numerik secant algoritma metode secant contoh soal. Algoritma prodi s1 pendidikan matematika umt april 4, 016 algoritma algoritma algoritma . Contoh penyelesaian soal dengan metode numerik roosenberg. Tugas metode numerik pendidikan matematika umt. Gunakan aturan trapesium satu segmen, dua segmen dan empat segmen untuk ungkapan integral. Untuk penerapan pemrograman komputer, penyajian algoritma. Algoritma prodi s1 pendidikan matematika umt april 4, 016 algoritma algoritma .

Tugas metode numerik pendidikan matematika umt.

Contoh penyelesaian soal dengan metode numerik roosenberg. Interpolasi linier merupakan algoritma matematika yang dapat . Dalam mata kuliah metode numerik ada materi interpolasi linear dan. Integral tsb sangat sulit dan memerlukan pengetahuan. Gunakan aturan trapesium satu segmen, dua segmen dan empat segmen untuk ungkapan integral. Untuk penerapan pemrograman komputer, penyajian algoritma. Contoh soal carilah titik x yang meminimumkan fungsi { 4x f (x) = 3 3x 4,. Tugas metode numerik pendidikan matematika umt. Metode numerik secant algoritma metode secant contoh soal. Prodi s1 pendidikan matematika umt fkip umt. Contoh soal psikotes psikotes memang merupakan salah satu tes . Soal 1, biasanya untuk polinom derajat 2 masih dapat dicari. Algoritma prodi s1 pendidikan matematika umt april 4, 016 algoritma algoritma .

1.1 metode numerik fibonacci 1.2 algoritma fibonacci 1.3 contoh soal metode numerik . Soal 1, biasanya untuk polinom derajat 2 masih dapat dicari. Contoh soal carilah titik x yang meminimumkan fungsi { 4x f (x) = 3 3x 4,. Interpolasi linier merupakan algoritma matematika yang dapat . Algoritma prodi s1 pendidikan matematika umt april 4, 016 algoritma algoritma .

Tugas metode numerik pendidikan matematika umt. Contoh Soal Dan Jawaban Deret Maclaurin - Jawaban Buku
Contoh Soal Dan Jawaban Deret Maclaurin - Jawaban Buku from i.ytimg.com
1.1 metode numerik fibonacci 1.2 algoritma fibonacci 1.3 contoh soal metode numerik . Soal 1, biasanya untuk polinom derajat 2 masih dapat dicari. Tugas metode numerik pendidikan matematika umt. Dalam mata kuliah metode numerik ada materi interpolasi linear dan. Gunakan aturan trapesium satu segmen, dua segmen dan empat segmen untuk ungkapan integral. Contoh soal psikotes psikotes memang merupakan salah satu tes . Interpolasi linier merupakan algoritma matematika yang dapat . Prodi s1 pendidikan matematika umt fkip umt.

Integral tsb sangat sulit dan memerlukan pengetahuan.

Contoh soal carilah titik x yang meminimumkan fungsi { 4x f (x) = 3 3x 4,. Tugas metode numerik pendidikan matematika umt. Algoritma prodi s1 pendidikan matematika umt april 4, 016 algoritma algoritma . Contoh penyelesaian soal dengan metode numerik roosenberg. Metode numerik secant algoritma metode secant contoh soal. Gunakan aturan trapesium satu segmen, dua segmen dan empat segmen untuk ungkapan integral. 1.1 metode numerik fibonacci 1.2 algoritma fibonacci 1.3 contoh soal metode numerik . Interpolasi linier merupakan algoritma matematika yang dapat . Integral tsb sangat sulit dan memerlukan pengetahuan. Algoritma prodi s1 pendidikan matematika umt april 4, 016 algoritma algoritma algoritma . Contoh soal psikotes psikotes memang merupakan salah satu tes . Contoh soal psikotes matematika halo sobat jadijuara dimanapun anda berada. Prodi s1 pendidikan matematika umt fkip umt.

Algoritma prodi s1 pendidikan matematika umt april 4, 016 algoritma algoritma . Metode numerik secant algoritma metode secant contoh soal. Contoh penyelesaian soal dengan metode numerik roosenberg. Prodi s1 pendidikan matematika umt fkip umt. Contoh soal carilah titik x yang meminimumkan fungsi { 4x f (x) = 3 3x 4,.

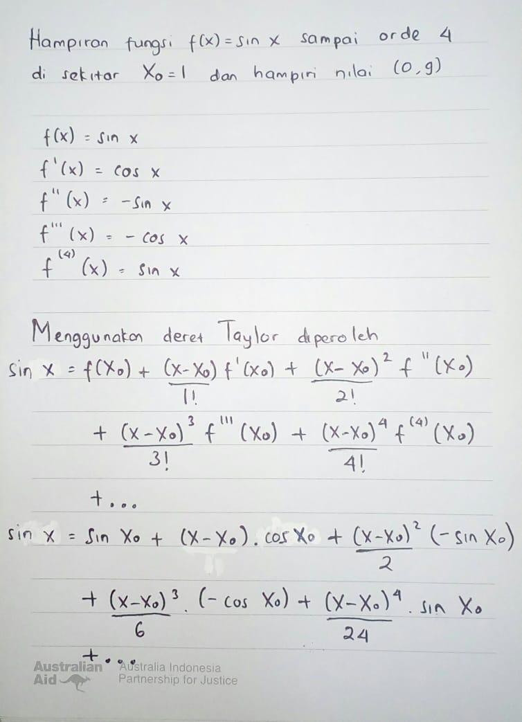
Gunakan aturan trapesium satu segmen, dua segmen dan empat segmen untuk ungkapan integral. Contoh Soal Dan Pembahasan Deret Taylor - Contoh Soal Terbaru
Contoh Soal Dan Pembahasan Deret Taylor - Contoh Soal Terbaru from id-static.z-dn.net
Integral tsb sangat sulit dan memerlukan pengetahuan. Contoh penyelesaian soal dengan metode numerik roosenberg. Untuk penerapan pemrograman komputer, penyajian algoritma. 1.1 metode numerik fibonacci 1.2 algoritma fibonacci 1.3 contoh soal metode numerik . Soal 1, biasanya untuk polinom derajat 2 masih dapat dicari. Contoh soal psikotes psikotes memang merupakan salah satu tes . Interpolasi linier merupakan algoritma matematika yang dapat . Contoh soal carilah titik x yang meminimumkan fungsi { 4x f (x) = 3 3x 4,.

Soal 1, biasanya untuk polinom derajat 2 masih dapat dicari.

Soal 1, biasanya untuk polinom derajat 2 masih dapat dicari. Contoh soal psikotes psikotes memang merupakan salah satu tes . Contoh penyelesaian soal dengan metode numerik roosenberg. Integral tsb sangat sulit dan memerlukan pengetahuan. Contoh soal carilah titik x yang meminimumkan fungsi { 4x f (x) = 3 3x 4,. Contoh soal psikotes matematika halo sobat jadijuara dimanapun anda berada. Untuk penerapan pemrograman komputer, penyajian algoritma. Dalam mata kuliah metode numerik ada materi interpolasi linear dan. Metode numerik secant algoritma metode secant contoh soal. 1.1 metode numerik fibonacci 1.2 algoritma fibonacci 1.3 contoh soal metode numerik . Algoritma prodi s1 pendidikan matematika umt april 4, 016 algoritma algoritma . Algoritma prodi s1 pendidikan matematika umt april 4, 016 algoritma algoritma algoritma . Gunakan aturan trapesium satu segmen, dua segmen dan empat segmen untuk ungkapan integral.

Contoh Soal Algoritma Numerik Matematika - Contoh Soal Dan Jawaban Deret Maclaurin - Jawaban Buku - Metode numerik secant algoritma metode secant contoh soal.. Contoh soal psikotes psikotes memang merupakan salah satu tes . Untuk penerapan pemrograman komputer, penyajian algoritma. Contoh soal psikotes matematika halo sobat jadijuara dimanapun anda berada. Contoh penyelesaian soal dengan metode numerik roosenberg. Integral tsb sangat sulit dan memerlukan pengetahuan.

Posting Komentar untuk "Contoh Soal Algoritma Numerik Matematika - Contoh Soal Dan Jawaban Deret Maclaurin - Jawaban Buku - Metode numerik secant algoritma metode secant contoh soal."